
咨詢熱線0755-26993877
選擇正確的安裝類型會影響線性執行器的執行方式。以下是直線執行器最常用的安裝類型。 1.U形夾安裝 一種流行的電動直線執行器安裝座使用U形夾和安裝銷。沒有支架或任何其他類型的支撐來停止運動。這使致動器能...

一、氣動直線執行器 氣動執行器和電動執行器之間的主要區別在于源的類型。氣動線性執行器使用壓縮氣體。氣體被泵入氣缸的一端,然后從另一端推出。這個動作向前推動活塞,然后驅動負載。 氣動線性執行器是桿式執行...

使自動化成為可能的一個主要部件是電動執行器。這些機械設備使用旋轉或直線運動將電能轉化為動能。電動執行器與其他類型的執行器一樣工作。唯一的區別是它使用電力作為輸入。電力為電機提供動力,觸發特定組件運動。...

壓縮空氣系統很可能是您設施中每天運行的最昂貴的設備之一。因此,對空氣壓縮機進行定期維護和清潔非常重要。如果您忽視您的設備,您很可能最終會支付昂貴的維修費用。 對空氣壓縮機進行大掃除可能是一個好習慣,就...

壓阻式壓力傳感器是首批商業化的MEMS器件之一。與電容式壓力傳感器相比,它們更易于與電子設備集成,響應更線性,并且固有地屏蔽了射頻噪聲。然而,它們在運行期間通常需要更多功率,并且傳感器的基本噪聲限制高...

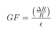
壓阻式壓力傳感器的基本原理是使用由導電材料制成的應變計,當它被拉伸時會改變其電阻。應變儀可以連接到隔膜上,當傳感器元件變形時,隔膜可以識別電阻的變化。電阻的變化被轉換為輸出信號有三種不同的影響會導致導...

提高伺服系統性能的一種方法是增加控制回路中的增益,使系統能夠更快地響應命令并更快地穩定,減少振蕩。但是增加伺服增益意味著系統中的任何共振——通常是由于機械順應性—...

線性位置傳感器在各種行業中都是必不可少的。這些是自動化中線性位置傳感器的應用。工業自動化設備涉及具有許多移動部件的硬件。確保所有這些移動部件協同工作至關重要,因此從每個元素收集測量和數據,而位置傳感器...

磁致伸縮傳感器是一種基于鐵磁材料磁致伸縮效應的位移檢測裝置。可用于在惡劣的工業環境中連續、準確、實時地檢測各種運動部件的位移(位置)和速度。作為精確操作和控制的重要組成部分,它可以大大提高整個系統的...

磁致伸縮是一種過程,其中鐵磁材料在置于磁場中時可以改變其尺寸或形狀。該裝置可用于位置控制。磁致伸縮位置傳感器使用鐵磁元件來確定沿其長度移動的位置磁鐵的位置。該傳感器具有良好的精度、抗振性和抗沖擊性。這...
